Carbohydrates in their base form glucose or glycogen (in the muscles) can be turned into ATP very quickly but you only get 2 molecules of ATP per glucose molecule. Therefore you need a lot of Glucose to power explosive exercise. Fat on the other hand delivers around 18 times the ATP per fat molecule making it a much more dense source of energy but its slow, and therefore it is thought fat is only good for endurance. Whilst it is true that fat oxidation is important for longer events and fat oxidation capacity has been correlated with performance in Ironman triathlons (Frandsen et al., 2017) there are many misunderstandings about fat use and exercise. And when people talk about fat oxidation they tend to talk about only one thing: “FatMax” as if that’s all that matters.
What is FatMax?
Fatmax is the % of V02 max when you are burning most proportion of fat relative to carbs. It is not absolute level of fuel use nor the % of fuel use, it is an intensity measure. A better expression is simply the maximal rate of fat oxidation (aka MFO). Most people talk about FatMax when they really mean MFO.
Fat max became attractive because it supports the idea that if you find a certain *low* intensity then you will “burn most fat from body stores”.
People think you can do a little and get a lot of weight or fat loss
This is plain wrong. “Fatmax” test was developed (Achten et al., 2002) as a *short term* graded exercise test elucidates whole-body fat oxidation rates across a range of exercise intensities, the maximal rate of fat oxidation (MFO), and the intensity at which the MFO occurs (Fatmax) using indirect calorimetry. The findings are between 40%- 65% of VO2max there is roughly a 50:50 balance between carbohydrate and fat oxidation and beyond 70% of VO2max there is an big rise in carbohydrate oxidation with a concomitant decrease in fat oxidation (but note this is again for a short duration)

Fact #1: Intensity is only one factor in fat oxidation
Many factors influence fat oxidation including exercise duration, exercise and diet history, environmental conditions and yes, intensity.
But why focus just on intensity? Intensity and duration is intimately related in human performance.

Fact #2: Duration is *more important* than intensity
Schwindling et al. (2014) had trained cyclists perform step Fatmax tests, and then 1-h constant-load tests at Fatmax. Short-duration Fatmax tests did not seem to be reflective prolonged exercise. In fact if you ask athletes to exercise at their critical power duration is the key factor.

This is because it is impossible to exercise above critical power intensity (for that max duration eg 80% of VO2 max for longer than 1 or 2 hours). This table shows how duration AND intensity affect fatmax and totalFat burn. Because all human beings are intensity limited, intensity falls with rise in duration.

Fact# 3: Fat Oxidation rarely falls to zero
In reality, when measured side-by-side, even at 90% intensity, there is *some* contribution from Fat Oxidation. In fact most charts and studies are hypothetical at extreme intensities (extrapolated from a graph). Here is one with what looks like real data. Plus there are various sources of fats/free fatty acids (see below).

Fact #4: Fats Come from Muscle stores at high intensity/short duration

In all exercising mammals, all the carbohydrates (CHO) and lipids come either from the circulation (plasma glucose and plasma nonesterified fatty acids :NEFA) or from intramuscular reserves (muscle glycogen and muscle triacylglycerol (TAG), and muscle sources are used at high intensity. Sure enough at high intensity, fats ARE used and may actually be correlated with endurance performance:

In the short term, exercise relies heavily on endogenous fuel sources (intramuscular triacylglyceride and glycogen) but in the medium to long term (eg >120 min of exercise), intramuscular triacylglyceride oxidation returns to resting values only to be offset by a major increase in serum fatty acid delivery and oxidation (ref). Interestingly after 12 h of prolonged exercise, intramuscular triacylglyceride stores are 50–80% of pre-exercise concentrations despite the extreme duration of exercise (ref).
Fact #5 Fatmax Confuses relative and absolute numbers
Suppose a moderately fit runner runs 10k and believes they can burn more by running slowly in the “fatmax zone” . They slow to a half-marathon pace = let say 400kcals per hour. At this intensity, fatMax goes up to 70% of their energy from fat — i.e. they burn 280kcals of fat.
But now supposing our runner runs “tempo” at an intensity to a calorie burn rate of 600kcals per hour. At this higher intensity, the proportion of calories derived from fat might drop to 50%. However, the actual number of fat calories burned by our runner rises to 50% of 600 — i.e. a total of 300kcals per hour around 25% more than at the lower intensity!
10k run slow pace= 280kcals of fat & 120kcals of carbs
10k run fast pace= 300kcals of fat & 300kcals of carbs
Fact #6: Substrate Estimates are wrong (at high intensities)
Substrate oxidation (carb and fat burning) is estimated using gas exchange measurements (indirect calorimetry). The CO2 you exhale relative to the O2 you take in (VCO2/VO2) is the RQ (respiratory quotient), or RER (respiratory exchange ratio) and then if that ratio number reads 0.70, it tells us you are burning pure fat. When it reads 1.00, it tells us we are burning pure carbohydrate
Glucose oxidation:

Palmitate (fat) oxidisation:

BUT recently it was discovered that above threshold at high intensity, when lactate accumulation in the contracting muscle moves into the blood and increases the acid content [H+], which is buffered predominantly by the main buffer in your blood, bicarbonate [HCO3-] then this causes an excess (of non-oxidative) CO2 which should ben added to the total VCO2, making the VCO2 amount larger than it would have been had the acid not been added to the mix. This is not my theory it is the observation here Basically at high intensities researchers think have been overestimating carbohydrate and underestimating fat uses!
Fact #7: Carbs AND fats are utilized at high intensities
New research suggest both types fuels are used at high intensity.
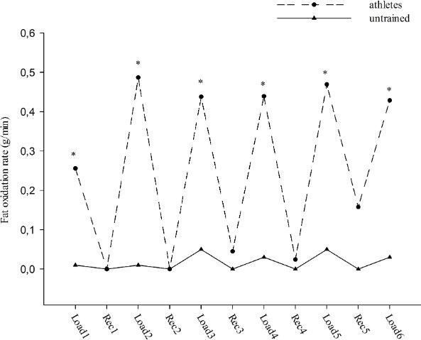
Ken Hetlelid, Eva Herold, and Stephen Seiler, in their study of 9 well-trained male runners with big engines (VO2max 71 ± 5 ml/kg/min) found that the greater use of fat was related to increment of skeletal muscle mitochondrial volume density and intrinsic mitochondrial fatty acid oxidation [ref,ref]. Both adjustments have been reported in a study performed on eight competitive male cross-country skiers compared to eight untrained controls [ref]. It was seen that the mitochondrial volumetric density, mitochondrial fatty acid oxidation, VO2max, and maximal fat oxidation (at 46% VO2max) were higher in endurance athletes than in controls. In addition, maximum fat oxidation and mitochondrial volume density were correlated in endurance athletes.
The fat oxidation, at those high exercise intensities, was nearly 3 times greater in the well-trained runners compared to the recreationally trained (right and above figures). It wasn’t zero, or negligible, as we are often told, but in fact accounted for 33% of the total energy expenditure in the well-trained guys over all high-intensity intervals.
Not only was fat oxidation 3 times greater — Fat oxidation at high intensity looks like it was the key discriminating factor explaining performance in the interval set between the two groups. It was the main why. Something happened with training it seemed to allow more fat oxidation at high exercise intensities. Fat oxidation didn’t just explain HIT performance. It also explained VO2max — that gold standard marker of fitness and performance we often hear about.

Fact #8: Training affects Fat Oxidation% (but not FatMax)
Studies comparing active with untrained individuals have observed significantly greater MFO but little effect on FatMax. Studies also show training improves fat utilitization at low AND high intensities……
MFO is generally upregulated in response to exercise training (Mogensen et al., 2009; Alkahtani et al., 2013; Astorino et al., 2013; Besnier et al., 2015; Ipavec-Levasseur et al., 2015; Lanzi et al., 2015; Nordby et al., 2015; Rosenkilde et al., 2015; Bagley et al., 2016; Mora-Rodríguez et al., 2016; Tan et al., 2016)
whilst Fatmax typically remains unchanged (Venables and Jeukendrup, 2008; Mogensen et al., 2009; Alkahtani et al., 2013; Ipavec-Levasseur et al., 2015; Rosenkilde et al., 2015; Bagley et al., 2016; Astorino et al., 2017; Schubert et al., 2017).
Short term intervention training studies show a modest effect of HIT training on MFO or fat oxidation. Here is a summary

Hetlelid et al. [ref] demonstrated a three times higher fat oxidation in elite runners compared to non-elite runners during high-intensity exercise.
Aslankeser and Balc [ref] observed 17 times higher fat oxidation in an athlete group compared to an untrained group during high-intensity intermittent exercise (80% VO2max), while carbohydrate oxidation rate was the same in trained and untrained subjects. Fat contribution to energy expenditure was significantly higher in the athlete group (∼25%) than in the untrained group (∼2%) suggesting a major effect of training is to utilize fats during HIT as well as endurance.

Similarly, during low-intensity exercise, endurance runners utilize more fat than sedentary healthy men do [ref].
Training-induced increases in MFO are mediated by adaptations to adipose tissue lipolysis, NEFA transport to skeletal muscle, skeletal muscle NEFA uptake, muscle triglyceride lipolysis, and/or mitochondrial uptake of fatty acids, given fat oxidation may be limited by fatty acid delivery to skeletal muscle or mitochondrial fatty acid uptake (Romijn et al., 1993, 1995; Sidossis et al., 1997; Starritt et al., 2000; van Loon et al., 2001; Spriet, 2014).
Training status appears to have little influence on the origin of fatty acids during the first 120 min of submaximal exercise. Nonetheless, trained subjects are able to maintain higher workloads with decreased metabolic work (HR) for longer periods compared to untrained individuals based on the ability to maintain FAox for longer durations [ref]. Despite the training status effect on fat oxidation, exercise duration will dictate substrate origin during submaximal exercise, and all exercise could be called “submaximal” in long efforts.
Fact #9: Diet significantly affects Fat Oxidation% (but only slightly FatMax)
Studies comparing high carb and low carb diets show a significant affect on fat oxidation but fatmax stays more of less the same. Take a look at this curve

Now let’s look at diet vs fuel use by duration.
Volek asked 28 elite ultra-marathoners and ironman distance triathletes to do a 180 min submaximal run at 64% VO2max on a treadmill
One group habitually consumed a traditional high carbohydrate (HC: n = 10, %carbohydrate:protein:fat = 59:14:25) diet, and the other a low-carbohydrate (LC; n = 10, 10:19:70) diet for an average of 20 months (range 9 to 36 months). Here are the results. Peak fat oxidation was 2x higher in the LC group and it occurred at a higher percentage of VO2max (70.3 vs 54.9).


Conclusion
Fatmax as a % of VO2 is a fairly useless statistic on its own. Absolute fat oxidation(g/min) is more useful. And here is the proof. Frandsen (link) examined the final predictors of cycling performance in Ironman,

VO2peak and MFO together explained 50 % (40%+10%) of the variation observed in race time!
Remember if you target on ‘fat max fat burning zone’ purely as a relative % then exercises will be low intensity AND low duration. Anything long term will burn more fat and more calories and cumulatively this adds up to fat loss.
Fat loss does not depend on fat burned in any one exercise but the cumulative the calorie deficit that is created over the days, weeks and month
If you want to target weight loss…. please forget about FatMax.
